Majority prefer comfortable pace of life, less competitive schools: OSC survey
SINGAPORE — An education system that is more inclusive and less competitive, where pupils learn with others of different abilities and backgrounds instead of being grouped together with those who have similar aptitudes and family circumstances. This is what the majority of Singaporeans prefer, according to an Institute of Policy Studies survey conducted as part of the Our Singapore Conversation (OSC) project.
SINGAPORE — An education system that is more inclusive and less competitive, where pupils learn with others of different abilities and backgrounds instead of being grouped together with those who have similar aptitudes and family circumstances. This is what the majority of Singaporeans prefer, according to an Institute of Policy Studies survey conducted as part of the Our Singapore Conversation (OSC) project.
Among the other objectives, the door-to-door survey of some 4,000 Singaporeans sought to find out the citizens’ preference on key issues.
On education, more than half of the respondents across all income levels — and especially those from the lower and middle income groups — said that they prefer an education system that is “less competitive and more holistic”, over one that is “globally competitive and academically rigorous”. Also, the survey found that Singaporeans, in particular those with a higher education level, “appeared to prefer a more inclusive education system”.
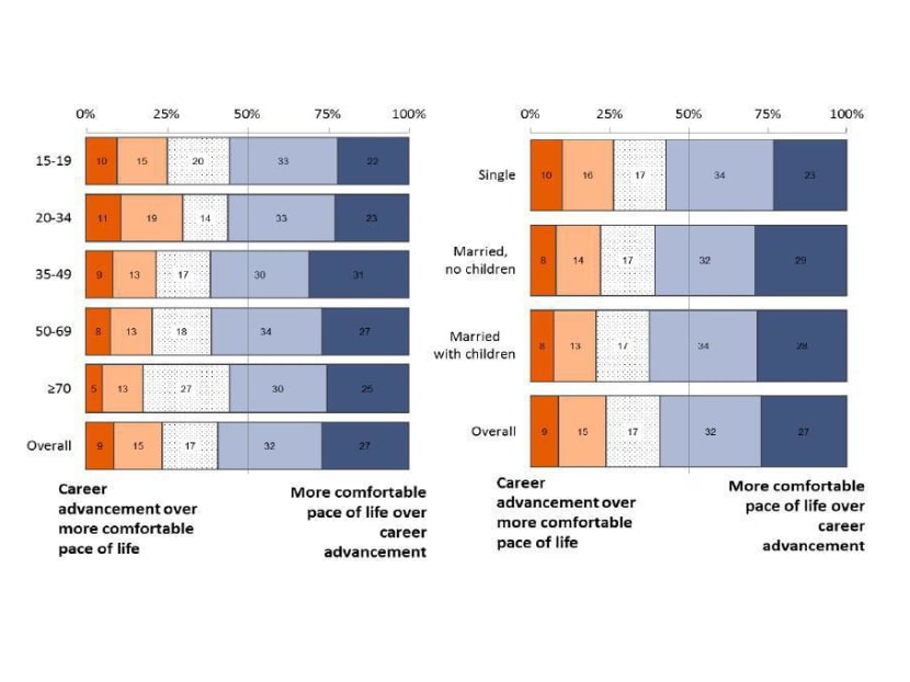
The preference for a less competitive environment appears to extend to the workplace. When presented with a choice between career advancement and a more comfortable pace of life, Singaporeans generally saw pace of life as more important relative to career pursuits. Singaporeans between the ages of 35 and 69, and those who are married with children, were most likely to choose a more comfortable pace of life as their preference in the survey.
On the inflow of foreigners, more Singaporeans preferred reducing it even if this translated to slower growth and jobs. Lower income groups were more inclined towards reducing the inflow of foreigners, which may be “a reflection of the competition for jobs at that level”, the survey said.
The survey, which was conducted between Dec 1 last year and Jan 31, found that Singaporeans in general also want the Government to slow down, in terms of development: More than half of the respondents supported the preservation of both green spaces and heritage spaces over infrastructural development.
On the design of the questions — which force respondents to state their preference between two competing outcomes — IPS Faculty Associate Tan Ern Ser, one of the researchers involved in the survey, said: “What we want people to realise is that you can’t always have your cake and eat it right. So if you want, say, more green spaces… to what extent do you have to sacrifice, say, economic development (and) infrastructural development? So we pose them with a sort of situation where they really have to make a choice and they can’t have it both ways — it’s one way or the other.”
Interestingly, the survey also found broad consensus among the respondents that eldercare facilities should be located in their neighbourhoods to provide greater convenience to the elderly and their caregivers. Support was generally strong regardless of the dwelling type in which respondents lived. Previously, there were several cases reported in the media where residents in various estates expressed resistance against building eldercare facilities near their homes.
Reading the data charts:
Percentages on the left (dark and light orange) represent strong and mild support for preferences indicated on the left; percentages on the right (dark and light blue) represent support for preferences indicated on the right. Dotted sections in the middle represent respondents who did not lean towards either preference.
